Unverified Commit 55f48d27 authored by QuanluZhang's avatar QuanluZhang Committed by GitHub
Browse files

Merge dev-nas-tuner back to master (#1531)

* PPO tuner for NAS, supports NNI's NAS interface (#1380)
parent 7246593f
...@@ -15,7 +15,7 @@ jobs: ...@@ -15,7 +15,7 @@ jobs:
displayName: 'Install nni toolkit via source code' displayName: 'Install nni toolkit via source code'
- script: | - script: |
python3 -m pip install flake8 --user python3 -m pip install flake8 --user
IGNORE=./tools/nni_annotation/testcase/*:F821,./examples/trials/mnist-nas/*/mnist*.py:F821 IGNORE=./tools/nni_annotation/testcase/*:F821,./examples/trials/mnist-nas/*/mnist*.py:F821,./examples/trials/nas_cifar10/src/cifar10/general_child.py:F821
python3 -m flake8 . --count --per-file-ignores=$IGNORE --select=E9,F63,F72,F82 --show-source --statistics python3 -m flake8 . --count --per-file-ignores=$IGNORE --select=E9,F63,F72,F82 --show-source --statistics
displayName: 'Run flake8 tests to find Python syntax errors and undefined names' displayName: 'Run flake8 tests to find Python syntax errors and undefined names'
- script: | - script: |
......
...@@ -20,6 +20,7 @@ Currently we support the following algorithms: ...@@ -20,6 +20,7 @@ Currently we support the following algorithms:
|[__Metis Tuner__](#MetisTuner)|Metis offers the following benefits when it comes to tuning parameters: While most tools only predict the optimal configuration, Metis gives you two outputs: (a) current prediction of optimal configuration, and (b) suggestion for the next trial. No more guesswork. While most tools assume training datasets do not have noisy data, Metis actually tells you if you need to re-sample a particular hyper-parameter. [Reference Paper](https://www.microsoft.com/en-us/research/publication/metis-robustly-tuning-tail-latencies-cloud-systems/)| |[__Metis Tuner__](#MetisTuner)|Metis offers the following benefits when it comes to tuning parameters: While most tools only predict the optimal configuration, Metis gives you two outputs: (a) current prediction of optimal configuration, and (b) suggestion for the next trial. No more guesswork. While most tools assume training datasets do not have noisy data, Metis actually tells you if you need to re-sample a particular hyper-parameter. [Reference Paper](https://www.microsoft.com/en-us/research/publication/metis-robustly-tuning-tail-latencies-cloud-systems/)|
|[__BOHB__](#BOHB)|BOHB is a follow-up work of Hyperband. It targets the weakness of Hyperband that new configurations are generated randomly without leveraging finished trials. For the name BOHB, HB means Hyperband, BO means Bayesian Optimization. BOHB leverages finished trials by building multiple TPE models, a proportion of new configurations are generated through these models. [Reference Paper](https://arxiv.org/abs/1807.01774)| |[__BOHB__](#BOHB)|BOHB is a follow-up work of Hyperband. It targets the weakness of Hyperband that new configurations are generated randomly without leveraging finished trials. For the name BOHB, HB means Hyperband, BO means Bayesian Optimization. BOHB leverages finished trials by building multiple TPE models, a proportion of new configurations are generated through these models. [Reference Paper](https://arxiv.org/abs/1807.01774)|
|[__GP Tuner__](#GPTuner)|Gaussian Process Tuner is a sequential model-based optimization (SMBO) approach with Gaussian Process as the surrogate. [Reference Paper](https://papers.nips.cc/paper/4443-algorithms-for-hyper-parameter-optimization.pdf), [Github Repo](https://github.com/fmfn/BayesianOptimization)| |[__GP Tuner__](#GPTuner)|Gaussian Process Tuner is a sequential model-based optimization (SMBO) approach with Gaussian Process as the surrogate. [Reference Paper](https://papers.nips.cc/paper/4443-algorithms-for-hyper-parameter-optimization.pdf), [Github Repo](https://github.com/fmfn/BayesianOptimization)|
|[__PPO Tuner__](#PPOTuner)|PPO Tuner is an Reinforcement Learning tuner based on PPO algorithm. [Reference Paper](https://arxiv.org/abs/1707.06347)|
## Usage of Built-in Tuners ## Usage of Built-in Tuners
...@@ -38,7 +39,7 @@ Note: Please follow the format when you write your `config.yml` file. Some built ...@@ -38,7 +39,7 @@ Note: Please follow the format when you write your `config.yml` file. Some built
TPE, as a black-box optimization, can be used in various scenarios and shows good performance in general. Especially when you have limited computation resource and can only try a small number of trials. From a large amount of experiments, we could found that TPE is far better than Random Search. [Detailed Description](./HyperoptTuner.md) TPE, as a black-box optimization, can be used in various scenarios and shows good performance in general. Especially when you have limited computation resource and can only try a small number of trials. From a large amount of experiments, we could found that TPE is far better than Random Search. [Detailed Description](./HyperoptTuner.md)
**Requirement of classArg** **Requirement of classArgs**
* **optimize_mode** (*maximize or minimize, optional, default = maximize*) - If 'maximize', the tuner will target to maximize metrics. If 'minimize', the tuner will target to minimize metrics. * **optimize_mode** (*maximize or minimize, optional, default = maximize*) - If 'maximize', the tuner will target to maximize metrics. If 'minimize', the tuner will target to minimize metrics.
...@@ -66,7 +67,7 @@ tuner: ...@@ -66,7 +67,7 @@ tuner:
Random search is suggested when each trial does not take too long (e.g., each trial can be completed very soon, or early stopped by assessor quickly), and you have enough computation resource. Or you want to uniformly explore the search space. Random Search could be considered as baseline of search algorithm. [Detailed Description](./HyperoptTuner.md) Random search is suggested when each trial does not take too long (e.g., each trial can be completed very soon, or early stopped by assessor quickly), and you have enough computation resource. Or you want to uniformly explore the search space. Random Search could be considered as baseline of search algorithm. [Detailed Description](./HyperoptTuner.md)
**Requirement of classArg:** **Requirement of classArgs**
* **optimize_mode** (*maximize or minimize, optional, default = maximize*) - If 'maximize', the tuner will target to maximize metrics. If 'minimize', the tuner will target to minimize metrics. * **optimize_mode** (*maximize or minimize, optional, default = maximize*) - If 'maximize', the tuner will target to maximize metrics. If 'minimize', the tuner will target to minimize metrics.
...@@ -91,7 +92,7 @@ tuner: ...@@ -91,7 +92,7 @@ tuner:
Anneal is suggested when each trial does not take too long, and you have enough computation resource(almost same with Random Search). Or the variables in search space could be sample from some prior distribution. [Detailed Description](./HyperoptTuner.md) Anneal is suggested when each trial does not take too long, and you have enough computation resource(almost same with Random Search). Or the variables in search space could be sample from some prior distribution. [Detailed Description](./HyperoptTuner.md)
**Requirement of classArg** **Requirement of classArgs**
* **optimize_mode** (*maximize or minimize, optional, default = maximize*) - If 'maximize', the tuner will target to maximize metrics. If 'minimize', the tuner will target to minimize metrics. * **optimize_mode** (*maximize or minimize, optional, default = maximize*) - If 'maximize', the tuner will target to maximize metrics. If 'minimize', the tuner will target to minimize metrics.
...@@ -117,7 +118,7 @@ tuner: ...@@ -117,7 +118,7 @@ tuner:
Its requirement of computation resource is relatively high. Specifically, it requires large initial population to avoid falling into local optimum. If your trial is short or leverages assessor, this tuner is a good choice. And, it is more suggested when your trial code supports weight transfer, that is, the trial could inherit the converged weights from its parent(s). This can greatly speed up the training progress. [Detailed Description](./EvolutionTuner.md) Its requirement of computation resource is relatively high. Specifically, it requires large initial population to avoid falling into local optimum. If your trial is short or leverages assessor, this tuner is a good choice. And, it is more suggested when your trial code supports weight transfer, that is, the trial could inherit the converged weights from its parent(s). This can greatly speed up the training progress. [Detailed Description](./EvolutionTuner.md)
**Requirement of classArg** **Requirement of classArgs**
* **optimize_mode** (*maximize or minimize, optional, default = maximize*) - If 'maximize', the tuner will target to maximize metrics. If 'minimize', the tuner will target to minimize metrics. * **optimize_mode** (*maximize or minimize, optional, default = maximize*) - If 'maximize', the tuner will target to maximize metrics. If 'minimize', the tuner will target to minimize metrics.
...@@ -156,7 +157,7 @@ nnictl package install --name=SMAC ...@@ -156,7 +157,7 @@ nnictl package install --name=SMAC
Similar to TPE, SMAC is also a black-box tuner which can be tried in various scenarios, and is suggested when computation resource is limited. It is optimized for discrete hyperparameters, thus, suggested when most of your hyperparameters are discrete. [Detailed Description](./SmacTuner.md) Similar to TPE, SMAC is also a black-box tuner which can be tried in various scenarios, and is suggested when computation resource is limited. It is optimized for discrete hyperparameters, thus, suggested when most of your hyperparameters are discrete. [Detailed Description](./SmacTuner.md)
**Requirement of classArg** **Requirement of classArgs**
* **optimize_mode** (*maximize or minimize, optional, default = maximize*) - If 'maximize', the tuner will target to maximize metrics. If 'minimize', the tuner will target to minimize metrics. * **optimize_mode** (*maximize or minimize, optional, default = maximize*) - If 'maximize', the tuner will target to maximize metrics. If 'minimize', the tuner will target to minimize metrics.
...@@ -243,7 +244,7 @@ tuner: ...@@ -243,7 +244,7 @@ tuner:
It is suggested when you have limited computation resource but have relatively large search space. It performs well in the scenario that intermediate result (e.g., accuracy) can reflect good or bad of final result (e.g., accuracy) to some extent. [Detailed Description](./HyperbandAdvisor.md) It is suggested when you have limited computation resource but have relatively large search space. It performs well in the scenario that intermediate result (e.g., accuracy) can reflect good or bad of final result (e.g., accuracy) to some extent. [Detailed Description](./HyperbandAdvisor.md)
**Requirement of classArg** **Requirement of classArgs**
* **optimize_mode** (*maximize or minimize, optional, default = maximize*) - If 'maximize', the tuner will target to maximize metrics. If 'minimize', the tuner will target to minimize metrics. * **optimize_mode** (*maximize or minimize, optional, default = maximize*) - If 'maximize', the tuner will target to maximize metrics. If 'minimize', the tuner will target to minimize metrics.
* **R** (*int, optional, default = 60*) - the maximum budget given to a trial (could be the number of mini-batches or epochs) can be allocated to a trial. Each trial should use TRIAL_BUDGET to control how long it runs. * **R** (*int, optional, default = 60*) - the maximum budget given to a trial (could be the number of mini-batches or epochs) can be allocated to a trial. Each trial should use TRIAL_BUDGET to control how long it runs.
...@@ -277,7 +278,7 @@ NetworkMorphism requires [PyTorch](https://pytorch.org/get-started/locally) and ...@@ -277,7 +278,7 @@ NetworkMorphism requires [PyTorch](https://pytorch.org/get-started/locally) and
It is suggested that you want to apply deep learning methods to your task (your own dataset) but you have no idea of how to choose or design a network. You modify the [example](https://github.com/Microsoft/nni/tree/master/examples/trials/network_morphism/cifar10/cifar10_keras.py) to fit your own dataset and your own data augmentation method. Also you can change the batch size, learning rate or optimizer. It is feasible for different tasks to find a good network architecture. Now this tuner only supports the computer vision domain. [Detailed Description](./NetworkmorphismTuner.md) It is suggested that you want to apply deep learning methods to your task (your own dataset) but you have no idea of how to choose or design a network. You modify the [example](https://github.com/Microsoft/nni/tree/master/examples/trials/network_morphism/cifar10/cifar10_keras.py) to fit your own dataset and your own data augmentation method. Also you can change the batch size, learning rate or optimizer. It is feasible for different tasks to find a good network architecture. Now this tuner only supports the computer vision domain. [Detailed Description](./NetworkmorphismTuner.md)
**Requirement of classArg** **Requirement of classArgs**
* **optimize_mode** (*maximize or minimize, optional, default = maximize*) - If 'maximize', the tuner will target to maximize metrics. If 'minimize', the tuner will target to minimize metrics. * **optimize_mode** (*maximize or minimize, optional, default = maximize*) - If 'maximize', the tuner will target to maximize metrics. If 'minimize', the tuner will target to minimize metrics.
* **task** (*('cv'), optional, default = 'cv'*) - The domain of experiment, for now, this tuner only supports the computer vision(cv) domain. * **task** (*('cv'), optional, default = 'cv'*) - The domain of experiment, for now, this tuner only supports the computer vision(cv) domain.
...@@ -313,7 +314,7 @@ Note that the only acceptable types of search space are `choice`, `quniform`, `u ...@@ -313,7 +314,7 @@ Note that the only acceptable types of search space are `choice`, `quniform`, `u
Similar to TPE and SMAC, Metis is a black-box tuner. If your system takes a long time to finish each trial, Metis is more favorable than other approaches such as random search. Furthermore, Metis provides guidance on the subsequent trial. Here is an [example](https://github.com/Microsoft/nni/tree/master/examples/trials/auto-gbdt/search_space_metis.json) about the use of Metis. User only need to send the final result like `accuracy` to tuner, by calling the NNI SDK. [Detailed Description](./MetisTuner.md) Similar to TPE and SMAC, Metis is a black-box tuner. If your system takes a long time to finish each trial, Metis is more favorable than other approaches such as random search. Furthermore, Metis provides guidance on the subsequent trial. Here is an [example](https://github.com/Microsoft/nni/tree/master/examples/trials/auto-gbdt/search_space_metis.json) about the use of Metis. User only need to send the final result like `accuracy` to tuner, by calling the NNI SDK. [Detailed Description](./MetisTuner.md)
**Requirement of classArg** **Requirement of classArgs**
* **optimize_mode** (*'maximize' or 'minimize', optional, default = 'maximize'*) - If 'maximize', the tuner will target to maximize metrics. If 'minimize', the tuner will target to minimize metrics. * **optimize_mode** (*'maximize' or 'minimize', optional, default = 'maximize'*) - If 'maximize', the tuner will target to maximize metrics. If 'minimize', the tuner will target to minimize metrics.
...@@ -347,7 +348,7 @@ nnictl package install --name=BOHB ...@@ -347,7 +348,7 @@ nnictl package install --name=BOHB
Similar to Hyperband, it is suggested when you have limited computation resource but have relatively large search space. It performs well in the scenario that intermediate result (e.g., accuracy) can reflect good or bad of final result (e.g., accuracy) to some extent. In this case, it may converges to a better configuration due to Bayesian optimization usage. [Detailed Description](./BohbAdvisor.md) Similar to Hyperband, it is suggested when you have limited computation resource but have relatively large search space. It performs well in the scenario that intermediate result (e.g., accuracy) can reflect good or bad of final result (e.g., accuracy) to some extent. In this case, it may converges to a better configuration due to Bayesian optimization usage. [Detailed Description](./BohbAdvisor.md)
**Requirement of classArg** **Requirement of classArgs**
* **optimize_mode** (*maximize or minimize, optional, default = maximize*) - If 'maximize', tuners will target to maximize metrics. If 'minimize', tuner will target to minimize metrics. * **optimize_mode** (*maximize or minimize, optional, default = maximize*) - If 'maximize', tuners will target to maximize metrics. If 'minimize', tuner will target to minimize metrics.
* **min_budget** (*int, optional, default = 1*) - The smallest budget assign to a trial job, (budget could be the number of mini-batches or epochs). Needs to be positive. * **min_budget** (*int, optional, default = 1*) - The smallest budget assign to a trial job, (budget could be the number of mini-batches or epochs). Needs to be positive.
...@@ -386,7 +387,7 @@ Note that the only acceptable types of search space are `choice`, `randint`, `un ...@@ -386,7 +387,7 @@ Note that the only acceptable types of search space are `choice`, `randint`, `un
As a strategy in Sequential Model-based Global Optimization(SMBO) algorithm, GP Tuner uses a proxy optimization problem (finding the maximum of the acquisition function) that, albeit still a hard problem, is cheaper (in the computational sense) and common tools can be employed. Therefore GP Tuner is most adequate for situations where the function to be optimized is a very expensive endeavor. GP can be used when the computation resource is limited. While GP Tuner has a computational cost that grows at *O(N^3)* due to the requirement of inverting the Gram matrix, so it's not suitable when lots of trials are needed. [Detailed Description](./GPTuner.md) As a strategy in Sequential Model-based Global Optimization(SMBO) algorithm, GP Tuner uses a proxy optimization problem (finding the maximum of the acquisition function) that, albeit still a hard problem, is cheaper (in the computational sense) and common tools can be employed. Therefore GP Tuner is most adequate for situations where the function to be optimized is a very expensive endeavor. GP can be used when the computation resource is limited. While GP Tuner has a computational cost that grows at *O(N^3)* due to the requirement of inverting the Gram matrix, so it's not suitable when lots of trials are needed. [Detailed Description](./GPTuner.md)
**Requirement of classArg** **Requirement of classArgs**
* **optimize_mode** (*'maximize' or 'minimize', optional, default = 'maximize'*) - If 'maximize', the tuner will target to maximize metrics. If 'minimize', the tuner will target to minimize metrics. * **optimize_mode** (*'maximize' or 'minimize', optional, default = 'maximize'*) - If 'maximize', the tuner will target to maximize metrics. If 'minimize', the tuner will target to minimize metrics.
* **utility** (*'ei', 'ucb' or 'poi', optional, default = 'ei'*) - The kind of utility function(acquisition function). 'ei', 'ucb' and 'poi' corresponds to 'Expected Improvement', 'Upper Confidence Bound' and 'Probability of Improvement' respectively. * **utility** (*'ei', 'ucb' or 'poi', optional, default = 'ei'*) - The kind of utility function(acquisition function). 'ei', 'ucb' and 'poi' corresponds to 'Expected Improvement', 'Upper Confidence Bound' and 'Probability of Improvement' respectively.
...@@ -415,3 +416,39 @@ tuner: ...@@ -415,3 +416,39 @@ tuner:
selection_num_warm_up: 100000 selection_num_warm_up: 100000
selection_num_starting_points: 250 selection_num_starting_points: 250
``` ```
<a name="PPOTuner"></a>
![](https://placehold.it/15/1589F0/000000?text=+) `PPO Tuner`
> Built-in Tuner Name: **PPOTuner**
Note that the only acceptable type of search space is `mutable_layer`. `optional_input_size` can only be 0, 1, or [0, 1].
**Suggested scenario**
PPOTuner is a Reinforcement Learning tuner based on PPO algorithm. When you are using NNI NAS interface in your trial code to do neural architecture search, PPOTuner is recommended. It has relatively high data efficiency but is suggested when you have large amount of computation resource. You could try it on very simple task, such as the [mnist-nas](https://github.com/microsoft/nni/tree/master/examples/trials/mnist-nas) example. [Detailed Description](./PPOTuner.md)
**Requirement of classArgs**
* **optimize_mode** (*'maximize' or 'minimize'*) - If 'maximize', the tuner will target to maximize metrics. If 'minimize', the tuner will target to minimize metrics.
* **trials_per_update** (*int, optional, default = 20*) - The number of trials to be used for one update. This number is recommended to be larger than `trialConcurrency` and `trialConcurrency` be a aliquot devisor of `trials_per_update`. Note that trials_per_update should be divisible by minibatch_size.
* **epochs_per_update** (*int, optional, default = 4*) - The number of epochs for one update.
* **minibatch_size** (*int, optional, default = 4*) - Mini-batch size (i.e., number of trials for a mini-batch) for the update. Note that, trials_per_update should be divisible by minibatch_size.
* **ent_coef** (*float, optional, default = 0.0*) - Policy entropy coefficient in the optimization objective.
* **lr** (*float, optional, default = 3e-4*) - Learning rate of the model (lstm network), constant.
* **vf_coef** (*float, optional, default = 0.5*) - Value function loss coefficient in the optimization objective.
* **max_grad_norm** (*float, optional, default = 0.5*) - Gradient norm clipping coefficient.
* **gamma** (*float, optional, default = 0.99*) - Discounting factor.
* **lam** (*float, optional, default = 0.95*) - Advantage estimation discounting factor (lambda in the paper).
* **cliprange** (*float, optional, default = 0.2*) - Cliprange in the PPO algorithm, constant.
**Usage example**
```yaml
# config.yml
tuner:
builtinTunerName: PPOTuner
classArgs:
optimize_mode: maximize
```
\ No newline at end of file
PPO Tuner on NNI
===
## PPOTuner
This is a tuner generally for NNI's NAS interface, it uses [ppo algorithm](https://arxiv.org/abs/1707.06347). The implementation inherits the main logic of the implementation [here](https://github.com/openai/baselines/tree/master/baselines/ppo2) (i.e., ppo2 from OpenAI), and is adapted for NAS scenario.
It could successfully tune the [mnist-nas example](https://github.com/microsoft/nni/tree/master/examples/trials/mnist-nas), and has the following result:
![](../../img/ppo_mnist.png)
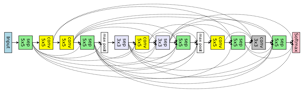
We also tune [the macro search space for image classification in the enas paper](https://github.com/microsoft/nni/tree/master/examples/trials/nas_cifar10) (with limited epoch number for each trial, i.e., 8 epochs), which is implemented using the NAS interface and tuned with PPOTuner. Use Figure 7 in the [enas paper](https://arxiv.org/pdf/1802.03268.pdf) to show how the search space looks like
![](../../img/enas_search_space.png)
The figure above is a chosen architecture, we use it to show how the search space looks like. Each square is a layer whose operation can be chosen from 6 operations. Each dash line is a skip connection, each square layer could choose 0 or 1 skip connection getting the output of a previous layer. __Note that__ in original macro search space each square layer could choose any number of skip connections, while in our implementation it is only allowed to choose 0 or 1.
The result is shown in figure below (with the experiment config [here](https://github.com/microsoft/nni/blob/master/examples/trials/nas_cifar10/config_ppo.yml)):
![](../../img/ppo_cifar10.png)
authorName: default
experimentName: example_mnist
trialConcurrency: 1
maxExecDuration: 1h
maxTrialNum: 10
#choice: local, remote, pai
trainingServicePlatform: local
#choice: true, false
useAnnotation: true
tuner:
builtinTunerName: TPE
trial:
command: python3 mnist.py --batch_num 200
codeDir: .
gpuNum: 0
nasMode: classic_mode
authorName: NNI-example
experimentName: example_mnist
trialConcurrency: 1
maxExecDuration: 100h
maxTrialNum: 10000
#choice: local, remote, pai
trainingServicePlatform: local
#choice: true, false
useAnnotation: true
tuner:
#choice: TPE, Random, Anneal, Evolution, BatchTuner, MetisTuner
#SMAC, PPO (SMAC and PPO should be installed through nnictl)
builtinTunerName: PPOTuner
classArgs:
optimize_mode: maximize
trial:
command: python3 mnist.py
codeDir: .
gpuNum: 0
...@@ -2,7 +2,14 @@ ...@@ -2,7 +2,14 @@
=== ===
Now we have an NAS example [NNI-NAS-Example](https://github.com/Crysple/NNI-NAS-Example) run in NNI using NAS interface from our contributors. Now we have an NAS example [NNI-NAS-Example](https://github.com/Crysple/NNI-NAS-Example) run in NNI using NAS interface from our contributors.
We have included its trial code in this folder, and provided example config files to show how to use PPO tuner to tune the trial code.
> Download data
- `cd data && . download.sh`
- `tar xzf cifar-10-python.tar.gz && mv cifar-batches cifar10`
Thanks our lovely contributors. Thanks our lovely contributors.
And welcome more and more people to join us! And welcome more and more people to join us!
\ No newline at end of file
authorName: Unknown
experimentName: enas_macro
trialConcurrency: 20
maxExecDuration: 2400h
maxTrialNum: 20000
#choice: local, remote
trainingServicePlatform: pai
#choice: true, false
useAnnotation: true
multiPhase: false
versionCheck: false
nniManagerIp: 0.0.0.0
tuner:
builtinTunerName: PPOTuner
classArgs:
optimize_mode: maximize
trials_per_update: 60
epochs_per_update: 20
minibatch_size: 6
trial:
command: sh ./macro_cifar10_pai.sh
codeDir: ./
gpuNum: 1
cpuNum: 1
memoryMB: 8196
image: msranni/nni:latest
virtualCluster: nni
paiConfig:
userName: your_account
passWord: your_pwd
host: 0.0.0.0
authorName: Unknown
experimentName: enas_macro
trialConcurrency: 4
maxExecDuration: 2400h
maxTrialNum: 20000
#choice: local, remote
trainingServicePlatform: local
#choice: true, false
useAnnotation: true
multiPhase: false
tuner:
builtinTunerName: PPOTuner
classArgs:
optimize_mode: maximize
trials_per_update: 60
epochs_per_update: 12
minibatch_size: 10
trial:
command: sh ./macro_cifar10.sh
codeDir: ./
gpuNum: 1
wget https://www.cs.toronto.edu/~kriz/cifar-10-python.tar.gz
#!/bin/bash
set -e
export PYTHONPATH="$(pwd)"
python3 src/cifar10/nni_child_cifar10.py \
--data_format="NCHW" \
--search_for="macro" \
--reset_output_dir \
--data_path="data/cifar10" \
--output_dir="outputs" \
--train_data_size=45000 \
--batch_size=100 \
--num_epochs=8 \
--log_every=50 \
--eval_every_epochs=1 \
--child_use_aux_heads \
--child_num_layers=12 \
--child_out_filters=36 \
--child_l2_reg=0.0002 \
--child_num_branches=6 \
--child_num_cell_layers=5 \
--child_keep_prob=0.50 \
--child_drop_path_keep_prob=0.60 \
--child_lr_cosine \
--child_lr_max=0.05 \
--child_lr_min=0.001 \
--child_lr_T_0=10 \
--child_lr_T_mul=2 \
--child_mode="subgraph" \
"$@"
#!/bin/bash
set -e
export PYTHONPATH="$(pwd)"
python3 src/cifar10/nni_child_cifar10.py \
--data_format="NCHW" \
--search_for="macro" \
--reset_output_dir \
--data_path="data/cifar10" \
--output_dir="outputs" \
--train_data_size=45000 \
--batch_size=100 \
--num_epochs=30 \
--log_every=50 \
--eval_every_epochs=1 \
--child_use_aux_heads \
--child_num_layers=12 \
--child_out_filters=36 \
--child_l2_reg=0.0002 \
--child_num_branches=6 \
--child_num_cell_layers=5 \
--child_keep_prob=0.50 \
--child_drop_path_keep_prob=0.60 \
--child_lr_cosine \
--child_lr_max=0.05 \
--child_lr_min=0.001 \
--child_lr_T_0=10 \
--child_lr_T_mul=2 \
--child_mode="subgraph" \
"$@"
import os
import sys
import pickle
import numpy as np
import tensorflow as tf
def _read_data(data_path, train_files):
"""Reads CIFAR-10 format data. Always returns NHWC format.
Returns:
images: np tensor of size [N, H, W, C]
labels: np tensor of size [N]
"""
images, labels = [], []
for file_name in train_files:
print(file_name)
full_name = os.path.join(data_path, file_name)
with open(full_name, "rb") as finp:
data = pickle.load(finp, encoding='latin1')
batch_images = data["data"].astype(np.float32) / 255.0
batch_labels = np.array(data["labels"], dtype=np.int32)
images.append(batch_images)
labels.append(batch_labels)
images = np.concatenate(images, axis=0)
labels = np.concatenate(labels, axis=0)
images = np.reshape(images, [-1, 3, 32, 32])
images = np.transpose(images, [0, 2, 3, 1])
return images, labels
def read_data(data_path, num_valids=5000):
print("-" * 80)
print("Reading data")
images, labels = {}, {}
train_files = [
"data_batch_1",
"data_batch_2",
"data_batch_3",
"data_batch_4",
"data_batch_5",
]
test_file = [
"test_batch",
]
images["train"], labels["train"] = _read_data(data_path, train_files)
if num_valids:
images["valid"] = images["train"][-num_valids:]
labels["valid"] = labels["train"][-num_valids:]
images["train"] = images["train"][:-num_valids]
labels["train"] = labels["train"][:-num_valids]
else:
images["valid"], labels["valid"] = None, None
images["test"], labels["test"] = _read_data(data_path, test_file)
print("Prepropcess: [subtract mean], [divide std]")
mean = np.mean(images["train"], axis=(0, 1, 2), keepdims=True)
std = np.std(images["train"], axis=(0, 1, 2), keepdims=True)
print("mean: {}".format(np.reshape(mean * 255.0, [-1])))
print("std: {}".format(np.reshape(std * 255.0, [-1])))
images["train"] = (images["train"] - mean) / std
if num_valids:
images["valid"] = (images["valid"] - mean) / std
images["test"] = (images["test"] - mean) / std
return images, labels
from __future__ import absolute_import
from __future__ import division
from __future__ import print_function
import numpy as np
import tensorflow as tf
from src.common_ops import create_weight, batch_norm, batch_norm_with_mask, global_avg_pool, conv_op, pool_op
from src.utils import count_model_params, get_train_ops, get_C, get_strides
from src.cifar10.models import Model
class GeneralChild(Model):
def __init__(self,
images,
labels,
cutout_size=None,
fixed_arc=None,
out_filters_scale=1,
num_layers=2,
num_branches=6,
out_filters=24,
keep_prob=1.0,
batch_size=32,
clip_mode=None,
grad_bound=None,
l2_reg=1e-4,
lr_init=0.1,
lr_dec_start=0,
lr_dec_every=10000,
lr_dec_rate=0.1,
lr_cosine=False,
lr_max=None,
lr_min=None,
lr_T_0=None,
lr_T_mul=None,
optim_algo=None,
sync_replicas=False,
num_aggregate=None,
num_replicas=None,
data_format="NHWC",
name="child",
mode="subgraph",
*args,
**kwargs
):
super(self.__class__, self).__init__(
images,
labels,
cutout_size=cutout_size,
batch_size=batch_size,
clip_mode=clip_mode,
grad_bound=grad_bound,
l2_reg=l2_reg,
lr_init=lr_init,
lr_dec_start=lr_dec_start,
lr_dec_every=lr_dec_every,
lr_dec_rate=lr_dec_rate,
keep_prob=keep_prob,
optim_algo=optim_algo,
sync_replicas=sync_replicas,
num_aggregate=num_aggregate,
num_replicas=num_replicas,
data_format=data_format,
name=name)
self.lr_cosine = lr_cosine
self.lr_max = lr_max
self.lr_min = lr_min
self.lr_T_0 = lr_T_0
self.lr_T_mul = lr_T_mul
self.out_filters = out_filters * out_filters_scale
self.num_layers = num_layers
self.mode = mode
self.num_branches = num_branches
self.fixed_arc = fixed_arc
self.out_filters_scale = out_filters_scale
pool_distance = self.num_layers // 3
self.pool_layers = [pool_distance - 1, 2 * pool_distance - 1]
def _factorized_reduction(self, x, out_filters, stride, is_training):
"""Reduces the shape of x without information loss due to striding."""
assert out_filters % 2 == 0, (
"Need even number of filters when using this factorized reduction.")
if stride == 1:
with tf.variable_scope("path_conv"):
inp_c = get_C(x, self.data_format)
w = create_weight("w", [1, 1, inp_c, out_filters])
x = tf.nn.conv2d(x, w, [1, 1, 1, 1], "SAME",
data_format=self.data_format)
x = batch_norm(x, is_training, data_format=self.data_format)
return x
stride_spec = get_strides(stride, self.data_format)
# Skip path 1
path1 = tf.nn.avg_pool(
x, [1, 1, 1, 1], stride_spec, "VALID", data_format=self.data_format)
with tf.variable_scope("path1_conv"):
inp_c = get_C(path1, self.data_format)
w = create_weight("w", [1, 1, inp_c, out_filters // 2])
path1 = tf.nn.conv2d(path1, w, [1, 1, 1, 1], "SAME",
data_format=self.data_format)
# Skip path 2
# First pad with 0"s on the right and bottom, then shift the filter to
# include those 0"s that were added.
if self.data_format == "NHWC":
pad_arr = [[0, 0], [0, 1], [0, 1], [0, 0]]
path2 = tf.pad(x, pad_arr)[:, 1:, 1:, :]
concat_axis = 3
else:
pad_arr = [[0, 0], [0, 0], [0, 1], [0, 1]]
path2 = tf.pad(x, pad_arr)[:, :, 1:, 1:]
concat_axis = 1
path2 = tf.nn.avg_pool(
path2, [1, 1, 1, 1], stride_spec, "VALID", data_format=self.data_format)
with tf.variable_scope("path2_conv"):
inp_c = get_C(path2, self.data_format)
w = create_weight("w", [1, 1, inp_c, out_filters // 2])
path2 = tf.nn.conv2d(path2, w, [1, 1, 1, 1], "SAME",
data_format=self.data_format)
# Concat and apply BN
final_path = tf.concat(values=[path1, path2], axis=concat_axis)
final_path = batch_norm(final_path, is_training,
data_format=self.data_format)
return final_path
def _model(self, images, is_training, reuse=False):
'''Build model'''
with tf.variable_scope(self.name, reuse=reuse):
layers = []
out_filters = self.out_filters
with tf.variable_scope("stem_conv"):
w = create_weight("w", [3, 3, 3, out_filters])
x = tf.nn.conv2d(
images, w, [1, 1, 1, 1], "SAME", data_format=self.data_format)
x = batch_norm(x, is_training, data_format=self.data_format)
layers.append(x)
def add_fixed_pooling_layer(layer_id, layers, out_filters, is_training):
'''Add a fixed pooling layer every four layers'''
out_filters *= 2
with tf.variable_scope("pool_at_{0}".format(layer_id)):
pooled_layers = []
for i, layer in enumerate(layers):
with tf.variable_scope("from_{0}".format(i)):
x = self._factorized_reduction(
layer, out_filters, 2, is_training)
pooled_layers.append(x)
return pooled_layers, out_filters
def post_process_out(out, optional_inputs):
'''Form skip connection and perform batch norm'''
with tf.variable_scope("skip"):
inputs = layers[-1]
if self.data_format == "NHWC":
inp_h = inputs.get_shape()[1].value
inp_w = inputs.get_shape()[2].value
inp_c = inputs.get_shape()[3].value
out.set_shape([None, inp_h, inp_w, out_filters])
elif self.data_format == "NCHW":
inp_c = inputs.get_shape()[1].value
inp_h = inputs.get_shape()[2].value
inp_w = inputs.get_shape()[3].value
out.set_shape([None, out_filters, inp_h, inp_w])
optional_inputs.append(out)
pout = tf.add_n(optional_inputs)
out = batch_norm(pout, is_training,
data_format=self.data_format)
layers.append(out)
return out
global layer_id
layer_id = -1
def get_layer_id():
global layer_id
layer_id += 1
return 'layer_' + str(layer_id)
def conv3(inputs):
# res_layers is pre_layers that are chosen to form skip connection
# layers[-1] is always the latest input
with tf.variable_scope(get_layer_id()):
with tf.variable_scope('branch_0'):
out = conv_op(
inputs[0][0], 3, is_training, out_filters, out_filters, self.data_format, start_idx=None)
out = post_process_out(out, inputs[1])
return out
def conv3_sep(inputs):
with tf.variable_scope(get_layer_id()):
with tf.variable_scope('branch_1'):
out = conv_op(
inputs[0][0], 3, is_training, out_filters, out_filters, self.data_format, start_idx=None, separable=True)
out = post_process_out(out, inputs[1])
return out
def conv5(inputs):
with tf.variable_scope(get_layer_id()):
with tf.variable_scope('branch_2'):
out = conv_op(
inputs[0][0], 5, is_training, out_filters, out_filters, self.data_format, start_idx=None)
out = post_process_out(out, inputs[1])
return out
def conv5_sep(inputs):
with tf.variable_scope(get_layer_id()):
with tf.variable_scope('branch_3'):
out = conv_op(
inputs[0][0], 5, is_training, out_filters, out_filters, self.data_format, start_idx=None, separable=True)
out = post_process_out(out, inputs[1])
return out
def avg_pool(inputs):
with tf.variable_scope(get_layer_id()):
with tf.variable_scope('branch_4'):
out = pool_op(
inputs[0][0], is_training, out_filters, out_filters, "avg", self.data_format, start_idx=None)
out = post_process_out(out, inputs[1])
return out
def max_pool(inputs):
with tf.variable_scope(get_layer_id()):
with tf.variable_scope('branch_5'):
out = pool_op(
inputs[0][0], is_training, out_filters, out_filters, "max", self.data_format, start_idx=None)
out = post_process_out(out, inputs[1])
return out
"""@nni.mutable_layers(
{
layer_choice: [conv3(), conv3_sep(), conv5(), conv5_sep(), avg_pool(), max_pool()],
fixed_inputs:[x],
layer_output: layer_0_out
},
{
layer_choice: [conv3(), conv3_sep(), conv5(), conv5_sep(), avg_pool(), max_pool()],
fixed_inputs:[layer_0_out],
optional_inputs: [layer_0_out],
optional_input_size: [0, 1],
layer_output: layer_1_out
},
{
layer_choice: [conv3(), conv3_sep(), conv5(), conv5_sep(), avg_pool(), max_pool()],
fixed_inputs:[layer_1_out],
optional_inputs: [layer_0_out, layer_1_out],
optional_input_size: [0, 1],
layer_output: layer_2_out
},
{
layer_choice: [conv3(), conv3_sep(), conv5(), conv5_sep(), avg_pool(), max_pool()],
fixed_inputs:[layer_2_out],
optional_inputs: [layer_0_out, layer_1_out, layer_2_out],
optional_input_size: [0, 1],
layer_output: layer_3_out
}
)"""
layers, out_filters = add_fixed_pooling_layer(
3, layers, out_filters, is_training)
layer_0_out, layer_1_out, layer_2_out, layer_3_out = layers[-4:]
"""@nni.mutable_layers(
{
layer_choice: [conv3(), conv3_sep(), conv5(), conv5_sep(), avg_pool(), max_pool()],
fixed_inputs: [layer_3_out],
optional_inputs: [layer_0_out, layer_1_out, layer_2_out, layer_3_out],
optional_input_size: [0, 1],
layer_output: layer_4_out
},
{
layer_choice: [conv3(), conv3_sep(), conv5(), conv5_sep(), avg_pool(), max_pool()],
fixed_inputs: [layer_4_out],
optional_inputs: [layer_0_out, layer_1_out, layer_2_out, layer_3_out, layer_4_out],
optional_input_size: [0, 1],
layer_output: layer_5_out
},
{
layer_choice: [conv3(), conv3_sep(), conv5(), conv5_sep(), avg_pool(), max_pool()],
fixed_inputs: [layer_5_out],
optional_inputs: [layer_0_out, layer_1_out, layer_2_out, layer_3_out, layer_4_out, layer_5_out],
optional_input_size: [0, 1],
layer_output: layer_6_out
},
{
layer_choice: [conv3(), conv3_sep(), conv5(), conv5_sep(), avg_pool(), max_pool()],
fixed_inputs: [layer_6_out],
optional_inputs: [layer_0_out, layer_1_out, layer_2_out, layer_3_out, layer_4_out, layer_5_out, layer_6_out],
optional_input_size: [0, 1],
layer_output: layer_7_out
}
)"""
layers, out_filters = add_fixed_pooling_layer(
7, layers, out_filters, is_training)
layer_0_out, layer_1_out, layer_2_out, layer_3_out, layer_4_out, layer_5_out, layer_6_out, layer_7_out = layers[
-8:]
"""@nni.mutable_layers(
{
layer_choice: [conv3(), conv3_sep(), conv5(), conv5_sep(), avg_pool(), max_pool()],
fixed_inputs: [layer_7_out],
optional_inputs: [layer_0_out, layer_1_out, layer_2_out, layer_3_out, layer_4_out, layer_5_out, layer_6_out, layer_7_out],
optional_input_size: [0, 1],
layer_output: layer_8_out
},
{
layer_choice: [conv3(), conv3_sep(), conv5(), conv5_sep(), avg_pool(), max_pool()],
fixed_inputs: [layer_8_out],
optional_inputs: [layer_0_out, layer_1_out, layer_2_out, layer_3_out, layer_4_out, layer_5_out, layer_6_out, layer_7_out, layer_8_out],
optional_input_size: [0, 1],
layer_output: layer_9_out
},
{
layer_choice: [conv3(), conv3_sep(), conv5(), conv5_sep(), avg_pool(), max_pool()],
fixed_inputs: [layer_9_out],
optional_inputs: [layer_0_out, layer_1_out, layer_2_out, layer_3_out, layer_4_out, layer_5_out, layer_6_out, layer_7_out, layer_8_out, layer_9_out],
optional_input_size: [0, 1],
layer_output: layer_10_out
},
{
layer_choice: [conv3(), conv3_sep(), conv5(), conv5_sep(), avg_pool(), max_pool()],
fixed_inputs:[layer_10_out],
optional_inputs: [layer_0_out, layer_1_out, layer_2_out, layer_3_out, layer_4_out, layer_5_out, layer_6_out, layer_7_out, layer_8_out, layer_9_out, layer_10_out],
optional_input_size: [0, 1],
layer_output: layer_11_out
}
)"""
x = global_avg_pool(layer_11_out, data_format=self.data_format)
if is_training:
x = tf.nn.dropout(x, self.keep_prob)
with tf.variable_scope("fc"):
if self.data_format == "NHWC":
inp_c = x.get_shape()[3].value
elif self.data_format == "NCHW":
inp_c = x.get_shape()[1].value
else:
raise ValueError(
"Unknown data_format {0}".format(self.data_format))
w = create_weight("w", [inp_c, 10])
x = tf.matmul(x, w)
return x
# override
def _build_train(self):
print("-" * 80)
print("Build train graph")
logits = self._model(self.x_train, is_training=True)
log_probs = tf.nn.sparse_softmax_cross_entropy_with_logits(
logits=logits, labels=self.y_train)
self.loss = tf.reduce_mean(log_probs)
self.train_preds = tf.argmax(logits, axis=1)
self.train_preds = tf.to_int32(self.train_preds)
self.train_acc = tf.equal(self.train_preds, self.y_train)
self.train_acc = tf.to_int32(self.train_acc)
self.train_acc = tf.reduce_sum(self.train_acc)
tf_variables = [var
for var in tf.trainable_variables() if var.name.startswith(self.name)]
self.num_vars = count_model_params(tf_variables)
print("Model has {} params".format(self.num_vars))
self.global_step = tf.Variable(
0, dtype=tf.int32, trainable=False, name="global_step")
self.train_op, self.lr, self.grad_norm, self.optimizer = get_train_ops(
self.loss,
tf_variables,
self.global_step,
clip_mode=self.clip_mode,
grad_bound=self.grad_bound,
l2_reg=self.l2_reg,
lr_init=self.lr_init,
lr_dec_start=self.lr_dec_start,
lr_dec_every=self.lr_dec_every,
lr_dec_rate=self.lr_dec_rate,
lr_cosine=self.lr_cosine,
lr_max=self.lr_max,
lr_min=self.lr_min,
lr_T_0=self.lr_T_0,
lr_T_mul=self.lr_T_mul,
num_train_batches=self.num_train_batches,
optim_algo=self.optim_algo,
sync_replicas=False,
num_aggregate=self.num_aggregate,
num_replicas=self.num_replicas)
# override
def _build_valid(self):
if self.x_valid is not None:
print("-" * 80)
print("Build valid graph")
logits = self._model(self.x_valid, False, reuse=True)
self.valid_preds = tf.argmax(logits, axis=1)
self.valid_preds = tf.to_int32(self.valid_preds)
self.valid_acc = tf.equal(self.valid_preds, self.y_valid)
self.valid_acc = tf.to_int32(self.valid_acc)
self.valid_acc = tf.reduce_sum(self.valid_acc)
# override
def _build_test(self):
print("-" * 80)
print("Build test graph")
logits = self._model(self.x_test, False, reuse=True)
self.test_preds = tf.argmax(logits, axis=1)
self.test_preds = tf.to_int32(self.test_preds)
self.test_acc = tf.equal(self.test_preds, self.y_test)
self.test_acc = tf.to_int32(self.test_acc)
self.test_acc = tf.reduce_sum(self.test_acc)
def build_model(self):
self._build_train()
self._build_valid()
self._build_test()
import os
import sys
import numpy as np
import tensorflow as tf
class Model(object):
def __init__(self,
images,
labels,
cutout_size=None,
batch_size=32,
eval_batch_size=100,
clip_mode=None,
grad_bound=None,
l2_reg=1e-4,
lr_init=0.1,
lr_dec_start=0,
lr_dec_every=100,
lr_dec_rate=0.1,
keep_prob=1.0,
optim_algo=None,
sync_replicas=False,
num_aggregate=None,
num_replicas=None,
data_format="NHWC",
name="generic_model",
seed=None,
):
"""
Args:
lr_dec_every: number of epochs to decay
"""
print("-" * 80)
print("Build model {}".format(name))
self.cutout_size = cutout_size
self.batch_size = batch_size
self.eval_batch_size = eval_batch_size
self.clip_mode = clip_mode
self.grad_bound = grad_bound
self.l2_reg = l2_reg
self.lr_init = lr_init
self.lr_dec_start = lr_dec_start
self.lr_dec_rate = lr_dec_rate
self.keep_prob = keep_prob
self.optim_algo = optim_algo
self.sync_replicas = sync_replicas
self.num_aggregate = num_aggregate
self.num_replicas = num_replicas
self.data_format = data_format
self.name = name
self.seed = seed
self.global_step = None
self.valid_acc = None
self.test_acc = None
print("Build data ops")
with tf.device("/cpu:0"):
# training data
self.num_train_examples = np.shape(images["train"])[0]
self.num_train_batches = (
self.num_train_examples + self.batch_size - 1) // self.batch_size
x_train, y_train = tf.train.shuffle_batch(
[images["train"], labels["train"]],
batch_size=self.batch_size,
capacity=50000,
enqueue_many=True,
min_after_dequeue=0,
num_threads=16,
seed=self.seed,
allow_smaller_final_batch=True,
)
self.lr_dec_every = lr_dec_every * self.num_train_batches
def _pre_process(x):
x = tf.pad(x, [[4, 4], [4, 4], [0, 0]])
x = tf.random_crop(x, [32, 32, 3], seed=self.seed)
x = tf.image.random_flip_left_right(x, seed=self.seed)
if self.cutout_size is not None:
mask = tf.ones(
[self.cutout_size, self.cutout_size], dtype=tf.int32)
start = tf.random_uniform(
[2], minval=0, maxval=32, dtype=tf.int32)
mask = tf.pad(mask, [[self.cutout_size + start[0], 32 - start[0]],
[self.cutout_size + start[1], 32 - start[1]]])
mask = mask[self.cutout_size: self.cutout_size + 32,
self.cutout_size: self.cutout_size + 32]
mask = tf.reshape(mask, [32, 32, 1])
mask = tf.tile(mask, [1, 1, 3])
x = tf.where(tf.equal(mask, 0), x=x, y=tf.zeros_like(x))
if self.data_format == "NCHW":
x = tf.transpose(x, [2, 0, 1])
return x
self.x_train = tf.map_fn(_pre_process, x_train, back_prop=False)
self.y_train = y_train
# valid data
self.x_valid, self.y_valid = None, None
if images["valid"] is not None:
images["valid_original"] = np.copy(images["valid"])
labels["valid_original"] = np.copy(labels["valid"])
if self.data_format == "NCHW":
images["valid"] = tf.transpose(
images["valid"], [0, 3, 1, 2])
self.num_valid_examples = np.shape(images["valid"])[0]
self.num_valid_batches = (
(self.num_valid_examples + self.eval_batch_size - 1)
// self.eval_batch_size)
self.x_valid, self.y_valid = tf.train.batch(
[images["valid"], labels["valid"]],
batch_size=self.eval_batch_size,
capacity=5000,
enqueue_many=True,
num_threads=1,
allow_smaller_final_batch=True,
)
# test data
if self.data_format == "NCHW":
images["test"] = tf.transpose(images["test"], [0, 3, 1, 2])
self.num_test_examples = np.shape(images["test"])[0]
self.num_test_batches = (
(self.num_test_examples + self.eval_batch_size - 1)
// self.eval_batch_size)
self.x_test, self.y_test = tf.train.batch(
[images["test"], labels["test"]],
batch_size=self.eval_batch_size,
capacity=10000,
enqueue_many=True,
num_threads=1,
allow_smaller_final_batch=True,
)
# cache images and labels
self.images = images
self.labels = labels
def eval_once(self, sess, eval_set, child_model, verbose=False):
"""Expects self.acc and self.global_step to be defined.
Args:
sess: tf.Session() or one of its wrap arounds.
feed_dict: can be used to give more information to sess.run().
eval_set: "valid" or "test"
"""
assert self.global_step is not None
global_step = sess.run(self.global_step)
print("Eval at {}".format(global_step))
if eval_set == "valid":
assert self.x_valid is not None
assert self.valid_acc is not None
num_examples = self.num_valid_examples
num_batches = self.num_valid_batches
acc_op = self.valid_acc
elif eval_set == "test":
assert self.test_acc is not None
num_examples = self.num_test_examples
num_batches = self.num_test_batches
acc_op = self.test_acc
else:
raise NotImplementedError("Unknown eval_set '{}'".format(eval_set))
total_acc = 0
total_exp = 0
for batch_id in range(num_batches):
acc = sess.run(acc_op)
total_acc += acc
total_exp += self.eval_batch_size
if verbose:
sys.stdout.write(
"\r{:<5d}/{:>5d}".format(total_acc, total_exp))
if verbose:
print("")
print("{}_accuracy: {:<6.4f}".format(
eval_set, float(total_acc) / total_exp))
return float(total_acc) / total_exp
def _model(self, images, is_training, reuse=None):
raise NotImplementedError("Abstract method")
def _build_train(self):
raise NotImplementedError("Abstract method")
def _build_valid(self):
raise NotImplementedError("Abstract method")
def _build_test(self):
raise NotImplementedError("Abstract method")
from __future__ import absolute_import
from __future__ import division
from __future__ import print_function
import os
import shutil
import logging
import tensorflow as tf
from src.cifar10.data_utils import read_data
from src.cifar10.general_child import GeneralChild
import src.cifar10_flags
from src.cifar10_flags import FLAGS
def build_logger(log_name):
logger = logging.getLogger(log_name)
logger.setLevel(logging.DEBUG)
fh = logging.FileHandler(log_name+'.log')
fh.setLevel(logging.DEBUG)
logger.addHandler(fh)
return logger
logger = build_logger("nni_child_cifar10")
def build_trial(images, labels, ChildClass):
'''Build child class'''
child_model = ChildClass(
images,
labels,
use_aux_heads=FLAGS.child_use_aux_heads,
cutout_size=FLAGS.child_cutout_size,
num_layers=FLAGS.child_num_layers,
num_cells=FLAGS.child_num_cells,
num_branches=FLAGS.child_num_branches,
fixed_arc=FLAGS.child_fixed_arc,
out_filters_scale=FLAGS.child_out_filters_scale,
out_filters=FLAGS.child_out_filters,
keep_prob=FLAGS.child_keep_prob,
drop_path_keep_prob=FLAGS.child_drop_path_keep_prob,
num_epochs=FLAGS.num_epochs,
l2_reg=FLAGS.child_l2_reg,
data_format=FLAGS.data_format,
batch_size=FLAGS.batch_size,
clip_mode="norm",
grad_bound=FLAGS.child_grad_bound,
lr_init=FLAGS.child_lr,
lr_dec_every=FLAGS.child_lr_dec_every,
lr_dec_rate=FLAGS.child_lr_dec_rate,
lr_cosine=FLAGS.child_lr_cosine,
lr_max=FLAGS.child_lr_max,
lr_min=FLAGS.child_lr_min,
lr_T_0=FLAGS.child_lr_T_0,
lr_T_mul=FLAGS.child_lr_T_mul,
optim_algo="momentum",
sync_replicas=FLAGS.child_sync_replicas,
num_aggregate=FLAGS.child_num_aggregate,
num_replicas=FLAGS.child_num_replicas
)
return child_model
def get_child_ops(child_model):
'''Assemble child op to a dict'''
child_ops = {
"global_step": child_model.global_step,
"loss": child_model.loss,
"train_op": child_model.train_op,
"lr": child_model.lr,
"grad_norm": child_model.grad_norm,
"train_acc": child_model.train_acc,
"optimizer": child_model.optimizer,
"num_train_batches": child_model.num_train_batches,
"eval_every": child_model.num_train_batches * FLAGS.eval_every_epochs,
"eval_func": child_model.eval_once,
}
return child_ops
class NASTrial():
def __init__(self):
images, labels = read_data(FLAGS.data_path, num_valids=0)
self.output_dir = os.path.join(os.getenv('NNI_OUTPUT_DIR'), '../..')
self.file_path = os.path.join(
self.output_dir, 'trainable_variable.txt')
self.graph = tf.Graph()
with self.graph.as_default():
self.child_model = build_trial(images, labels, GeneralChild)
self.total_data = {}
self.child_model.build_model()
self.child_ops = get_child_ops(self.child_model)
config = tf.ConfigProto(
intra_op_parallelism_threads=0,
inter_op_parallelism_threads=0,
allow_soft_placement=True)
self.sess = tf.train.SingularMonitoredSession(config=config)
logger.debug('initlize NASTrial done.')
def run_one_step(self):
'''Run this model on a batch of data'''
run_ops = [
self.child_ops["loss"],
self.child_ops["lr"],
self.child_ops["grad_norm"],
self.child_ops["train_acc"],
self.child_ops["train_op"],
]
loss, lr, gn, tr_acc, _ = self.sess.run(run_ops)
global_step = self.sess.run(self.child_ops["global_step"])
log_string = ""
log_string += "ch_step={:<6d}".format(global_step)
log_string += " loss={:<8.6f}".format(loss)
log_string += " lr={:<8.4f}".format(lr)
log_string += " |g|={:<8.4f}".format(gn)
log_string += " tr_acc={:<3d}/{:>3d}".format(tr_acc, FLAGS.batch_size)
if int(global_step) % FLAGS.log_every == 0:
logger.debug(log_string)
return loss, global_step
def run(self):
'''Run this model according to the `epoch` set in FALGS'''
max_acc = 0
while True:
_, global_step = self.run_one_step()
if global_step % self.child_ops['num_train_batches'] == 0:
acc = self.child_ops["eval_func"](
self.sess, "test", self.child_model)
max_acc = max(max_acc, acc)
'''@nni.report_intermediate_result(acc)'''
if global_step / self.child_ops['num_train_batches'] >= FLAGS.num_epochs:
'''@nni.report_final_result(max_acc)'''
break
def main(_):
logger.debug("-" * 80)
if not os.path.isdir(FLAGS.output_dir):
logger.debug(
"Path {} does not exist. Creating.".format(FLAGS.output_dir))
os.makedirs(FLAGS.output_dir)
elif FLAGS.reset_output_dir:
logger.debug(
"Path {} exists. Remove and remake.".format(FLAGS.output_dir))
shutil.rmtree(FLAGS.output_dir)
os.makedirs(FLAGS.output_dir)
logger.debug("-" * 80)
trial = NASTrial()
trial.run()
if __name__ == "__main__":
tf.app.run()
Markdown is supported
0% or .
You are about to add 0 people to the discussion. Proceed with caution.
Finish editing this message first!
Please register or to comment